联系电话
公众号

回到顶部
古地磁法地应力方向评价(大小和方向)对水平井方位、井网布置、井径优化、水力压裂设计与施工等都至关重要。地应力条件控制着岩石对水力压裂的反应,影响支撑剂裂缝的导流能力,对水平井产能有着根本的影响。
对于非定向页岩岩芯来说,古地磁法地应力方向评价包括三向主应力(垂向、最大水平、最小水平)大小的计算和方向的判识。水平主应力方向的判识分为岩芯定向和水平主应力方向测定两个步骤,若采用定向取芯则无需岩芯定向测试,岩芯定向主要采用古地磁定向方法,而水平主应力方向测定采用声学方法。
水平主应力大小的计算有两种方法,一是岩石力学实验参数计算,二是Kaiser效应方法。基于以上测试方法,冠德科技已建立古地磁定向+声波速度测定水平应力方向、岩石力学参数计算地应力大小和Kaiser效应计算地应力大小的完整实验流程和方法,提供地应力评价技术服务。
实验原理
1
古地磁定向确定岩芯方位
古地磁定向的目的是确定岩芯的原地方位角,通过测定天然岩芯中的粘滞剩磁确定其与现代地磁北极的偏角,结合地理北极和地磁南极的夹角,就能恢复岩芯在地下的原始方位。
2
声波速度测定水平主应力方向
岩芯从地层中取出将产生弹性应力释放,导致岩石内微裂缝的发育。由于声波速度和衰减对裂缝极其敏感,因此裂缝会导致声波速度的各向异性。这种各向异性在岩芯上得以保留,其测量结果可用于确定岩芯尺度上水平主应力方向。
3
岩石力学参数计算地应力大小
三向主应力分别指上覆地层应力、最小水平主应力和最大水平主应力。
上覆地层应力也叫垂直应力,是由上覆地层重量引起的,如果上覆地层的平均密度为ρa,则上覆应力σv可由以下公式计算。
Z为深度,ρa为地层密度,采用密度测井数据计算可获得更准确的上覆应力。
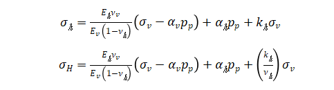
页岩的岩石力学性质(杨氏模量、泊松比等)在水平和垂直方向上具有各向异性。基于岩石力学参数计算最大水平主应力和最小水平主应力的公式如下:
Eh,v,νh,v分别表示水平和垂直方向上的杨氏模量和泊松比;Pp表示孔隙压力,通过地层测试或压力恢复测试获得;αh,v表示水平和垂直方向上的有效应力系数;kh为校正系数(与区域构造应力有关)。
4
Kaiser效应计算地应力大小
Kaiser效应的基本原理是,当材料受到荷载时,当施加的应力超过之前所经历的最大应力时,材料会发出声发射。使用Kaiser效应进行岩石地应力估算,需要在室内对岩芯进行单轴压缩试验。
Kaiser效应适用的深度范围
实验方法
1
古地磁定向实验
对于非定向取芯的岩芯样品,地应力评价的第一步就是要恢复岩芯样品在地下的方位角,需要采用古地磁定向方法。古地磁测试实验室由磁屏蔽空间、磁矢量系统、退磁系统等组成,如下图。
岩石古地磁测试实验室
地磁定向实验分为试样制作、剩磁测定和磁偏角计算三步。试样制作是实验成功的前提,用于古地磁测试的样品要避免高温和金属(会使样品消磁)。
古地磁定向是以剩磁水平分量确定磁北极方位,采用右手坐标系。
单个试样退磁测量的正交投影图
将这些剩磁结果导入REMASOFT古地磁数据处理软件,投影到赤平面上,采用Fisher统计方法获得岩芯的磁偏角。
REMASOFT古地磁数据处理软件(Fisher统计)
2
全直径岩芯圆周波速测量
我公司采用GCTS CVA-100圆周波速测定仪在全直径岩芯圆周方向上每隔15°测量声波速度,声波速度最小方向即为全直径岩芯上最大水平主应力方向。
GCTS CVA-100圆周速度仪及测量结果
3
岩石压缩实验
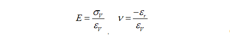
我公司采用英国INSTRON通用测试系统进行圆柱试样的压缩实验,实验过程中同步监测轴向和径向应变,获得应力-应变曲线,计算杨氏模量和泊松比。杨氏模量是轴向应力与轴向应变之比,泊松比是径向应变与轴向应变之比。
圆柱试样压缩实验及应力-应变曲线
4
有效应力系数
有效应力系数,又称Biot系数,与岩石体积模量与组成岩石的矿物颗粒体积模量有关,岩石体积模量具有各向异性,页岩水平和垂直方向上的体积模量(Kh, Kv)可由弹性参数(杨氏模量和泊松比)计算,公式如下:
水平和垂直方向上的有效应力系数(αh, αv)计算公式:
5
单轴压缩+声发射实验
采用Kaiser效应估算原位地应力大小,实验室中对岩芯试样进行单轴压缩试验的同时,监测声发射事件。
Kaiser效应测试
声发射实验试样钻取示意图
上述方法组合,可得到两条地应力评价实验流程,一条是古地磁定向+声波速度判识地应力方向,岩石弹性参数计算地应力大小;另一条是古地磁定向+Kaiser效应实验确定地应力大小和方向,此方法不适用于构造应力地区,确定的地应力大小也可能不是地层当前的应力状态。